省交警总队曝光一次记12分4次以上车辆
“牛车”甘AJE472 一次记12分达13次

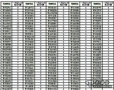
大西北网4月23日讯 为有效降低道路交通安全风险,使违法者得到教育,维护法律尊严,省公安厅自2016年4月1日起,在全省部署开展严查严惩严重道路交通违法行为专项整治行动。4月22日,省公安厅交警总队将一次记12分的严重交通违法行为达4次以上的车辆予以公开曝光,请机动车所有人或者管理人尽快到公安机关交通管理部门接受处理。
(责任编辑:鑫报)省交警总队曝光一次记12分4次以上车辆
“牛车”甘AJE472 一次记12分达13次

大西北网4月23日讯 为有效降低道路交通安全风险,使违法者得到教育,维护法律尊严,省公安厅自2016年4月1日起,在全省部署开展严查严惩严重道路交通违法行为专项整治行动。4月22日,省公安厅交警总队将一次记12分的严重交通违法行为达4次以上的车辆予以公开曝光,请机动车所有人或者管理人尽快到公安机关交通管理部门接受处理。
(责任编辑:鑫报)|
|
|
|
|
|
|
|
|
4月的岷县,乍暖还寒。这几天,寺沟镇坞麻沟村贫困户刘平彩,正忙着给自家中药材...
4月18日,嘉峪关方特丝路神画主题乐园恢复开放,来自兰州、敦煌、张掖等地的游客...
记者从甘肃省工信厅获悉,截至4月19日,甘肃省1774户规上工业企业员工到岗44万人,...
正是春耕的重要时节,广阔的田野间尽是一片热火朝天的生产场景。记者从甘肃省农...
一男子冒充女性,在社交软件陌陌聊天中以谈恋爱为由屡屡骗钱。近日,兰州新区警方...
随着脱贫攻坚不断推进,属于“三区三州”深度贫困地区的甘肃省临夏回族自治州东乡...